
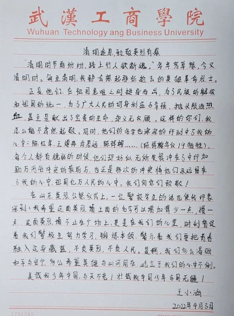
清明雨纷纷,白花祭亲人,缅怀先烈英雄事,热泪盈眶祭英魂。在漫长的革命斗争岁月中,无数革命先辈前赴后继,拯救祖国,保卫祖国。2021年4月3日,在此清明时分,经济与商务外语学院分团委马克思主义研究协会的同学们捧着一颗真诚的心缅怀英烈,祭奠忠魂。

在这次“清明追思,致敬英烈”的活动中,经外分团委马研选择了用线上哀悼追思先烈的方式。视频里,在烈士陵园举行的烈士纪念日活动中,人民深切悼念为实现民族独立、国家富强、人民幸福而英勇献身的革命先烈。当纪念仪式正式开始,全场高唱《中华人民共和国国歌》。

国歌唱毕,全场肃立,向英雄烈士默哀。在《献花曲》的伴奏中,礼兵抬着花篮缓步走到英烈纪念碑前,向英雄烈士敬献花篮。接着代表上前整理花篮缎带,全体人员面向纪念碑肃立行注目礼,深切缅怀革命先烈的丰功伟绩,寄托无限哀思。
认真观看视频的同学们




同学们观看视频后,认真写下了自己的心得,以此缅怀先烈。先辈们为了革命的事业,抛头颅洒热血,虽有帝国主义列强的残暴折磨,但他们宁死也要守住党的秘密,宁愿做光荣牺牲的烈士,也不愿做苟且偷生的叛徒,我们怀着对革命先烈无限敬佩的心情,缅怀歌颂他们。在我们的心里,他们是光明的象征,他们是战胜一切的力量。




我们从来都不曾忘记前人为我们所做的一切,也从来不敢忘记自己身上所肩负的使命。先人烈士们用自己的生命,为我们换来了一个和谐美好的社会,我们要珍惜,更要为祖国的未来而奋斗。让我们祖国,在一代又一代人的传承下愈发地繁荣昌盛!


在这清明之际,献上一朵纯洁的白花,代表我辈的深深敬意。在此向先烈庄重宣誓:我们将继承先辈的意志,建设强大祖国,树立崇高理想;我们将用自己满腔的热血,为了祖国的伟大复兴,坚持不懈,努力奋斗!

图文编辑:覃宇豪 饶俊益
责任编辑:方雨
转自:学院公众号
